Filter products
                                –
                            
                        
                                                    
                                            - General laboratory consumables
- Occupational safety, Security
- Analytical measurement and testing
- Stirring, Shaking, Mixing
- Sample preparation
- Distillation, separation, filtration
- Heating and cooling technology
- Liquid Handling
- Vacuum technology, Drying, Dry storage
- Optical instruments and Microscopes
- Cleaning and sterilisation
- Environmental-, soil-, water-, food analysis
- Life Sciences
- Chromatography
- Cleanroom
- About Us
                                                                                        
                                                                                            
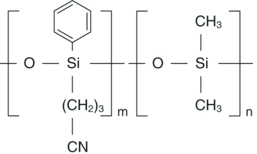
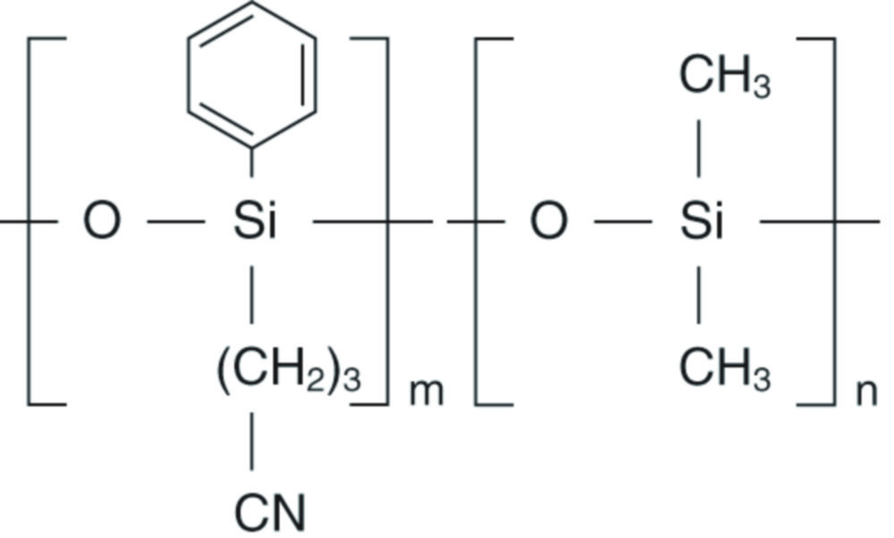
                                    GC Capillary columns LIPODEX® E
                                
                            
                                                            
                                    
                                                                            
                                
                            
                                                            
                                    
                                    LIPODEX® cyclodextrin phase for enantiomer separationBase material: cyclic oligosaccharide consisting of eight glucose units bonded through α-1,4-linkages (y-cylodextrin) regioselective alkylation and acylation of the hydroxyl groups leads to a lipophilic phase, which is well suited for GC enantiomer analyses; important advantage: many compounds can be analysed without derivatisation (however, for certain substances enantioselectivity can be favourably influenced by formation of derivatives).Octakis-(2,6-di-O-pentyl-3-O-butyryl)-γ-cyclodextrin. Recommended for α-amino acids, α- and β-hydroxycarboxylic acid esters, alcohols (TFA), diols (TFA), ketones, pheromones (cyclic acetals), amines, alkyl halides, lactones.Max. temperature for isothermal operation: 200 °CMax. temperature for short isotherms in a temperature programme: 220 °C
                                
                            
                                
    
                                                                    
                            
            
                                                                
                                                                                        
                                                                                            
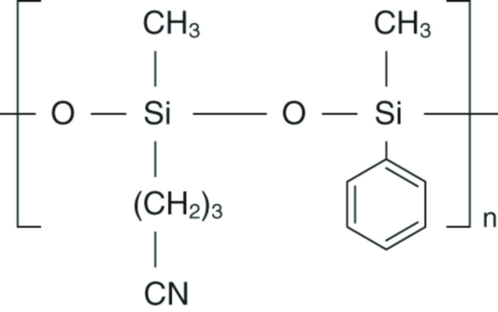
                                    GC Capillary columns HYDRODEX β-6TBDM
                                
                            
                                                            
                                    
                                                                            
                                
                            
                                                            
                                    
                                    HYDRODEX cyclodextrin phases for enantiomer separationHeptakis-(2,3-di-O-methyl-6-O-t-butyldimethyl-silyl)-β-cyclodextrin. Phase diluted with optimised polysiloxane recommended for γ-lactones, cyclopentanones, terpenes, esters, tartrates.Max. temperature for isothermal operation: 230 °CMax. temperature for short isotherms in a temperature programme: 250 °C
                                
                            
                                
    
                                                                    
                            
            
                                                                
                                                                                        
                                                                                            
                                    GC Capillary columns HYDRODEX β-TBDAC
                                
                            
                                                            
                                    
                                                                            
                                
                            
                                                            
                                    
                                    HYDRODEX cyclodextrin phases for enantiomer separationHeptakis-(2,3-di-O-acetyl-6-O-t-butyldimethyl-silyl)-β-cyclodextrin. Phase diluted with optimised polysiloxane recommended for alcohols, esters, ketones, aldehydes, δ-lactones.Max. temperature for isothermal operation: 220 °CMax. temperature for short isotherms in a temperature programme: 240 °C
                                
                            
                                
    
                                                                    
                            
            
                                                                
                                                                                        
                                                                                            
                                    OPTIMA® 1 MS Accent ultra-low bleed capillary columns for GC
                                
                            
                                                            
                                    
                                                                            
                                
                            
                                                            
                                    
                                    100 % dimethylpolysiloxanenonpolar phase with ultra-low bleeding, ideal for ion trap and quadrupol MS detectors increased sensitivity due to an unmatched low background level perfect inertness for basic compoundssolvent rinsing for removal of impurities applicableapplication areas: all-round phase for environmental analyses, trace analyses, EPA methods, pesticides, PCB, food and drug analysessimilar phases: Ultra-1, DB-1 MS, HP-1 MS, Rtx-1 MS, Equity™1, AT-1 MS, VF-1 MS, CP-Sil 5 CB MSmax. temperature for isothermal operation 340 °C, max. temperature for short isotherms in a temperature programme 360 °CEach column is individually tested and supplied with test certificate and test chromatogram, but without fittings or ferrules. Column ends are melted or closed with septa, and thus protected from atmospheric oxygen.Additionally, we supply the corresponding test mixture with each column.
                                
                            
                                
    
                                                                    
                            
            
                                                                
                                                                                        
                                                                                            
                                    OPTIMA® 5 MS Accent capillary columns for GC
                                
                            
                                                            
                                    
                                                                            
                                
                            
                                                            
                                    
                                    silarylene phaseWith polarity similar to a 5 % diphenyl -95 % dimethylpolysiloxane phase.USP G27, G36Lowest column bleed, nonpolar phase, ideal for ion trap and quadrupol MS detectors solvent rinsing for removal of impurities applicableApplication areas: all-round phase for environmental analyses, trace analyses, EPA methods, pesticides, PCB, food and drug analysessimilar phases: DB-5 MS, HP-5 MS, Ultra-2, Equity-5, CP-Sil 8 CB low bleed/MS, Rtx-5SIL-MS, Rtx-5 MS, 007-5 MS, BPX5, MDN-5S, AT-5 MS, VF-5 MSMax. temperature for isothermal operation: 340 °C,Max. temperature for short isotherms in a temperature programme: 360 °Cfor cloumns with film thicknesses > 5.5 µm the max. temperatures are 320 and 340 °CEach column is individually tested and supplied with test certificate and test chromatogram, but without fittings or ferrules. Column ends are melted or closed with septa, and thus protected from atmospheric oxygen.Additionally, we supply the corresponding test mixture with each column.
                                
                            
                                
    
                                                                    
                            
            
                                                                
                                                                                        
                                                                                            
                                    Optima® 17 capillary columns for GC
                                
                            
                                                            
                                    
                                                                            
                                
                            
                                                            
                                    
                                    phenylmethylpolysiloxane (50 % phenyl)medium polar phasepreferred applications: steroids, pesticides, drug analysesUSP G3similar phases: OV-17, DB-17, HP50+, HP17, SPB-50, SP-2250, Rtx-50, CP-Sil 24 CB, 007-17, ZB50		max. temperature for isothermal operation: 320°C, max. temperature for short isotherms in a temperature programme: 340°C, for 0.53mm ID columns the max. temperatures are 300 and 320°C, resp.In addition to this standard programme we will be happy to supply columns custom-made to your specifications.
                                
                            
                                
    
                                                                    
                            
            
                                                                
                                                                                        
                                                                                            
                                    Optima® 1701 capillary columns for GC
                                
                            
                                                            
                                    
                                                                            
                                
                            
                                                            
                                    
                                    14 % Cyanopropyl-phenyl - 86 % Dimethylpolysiloxane USP G46medium polar phasespecial selectivity due to high cyanopropyl contentreference column for structure identification, e.g. in combination with Optima 5film thickness 1 µm for solvent analysessimilar phases: OV-1701, DB-1701, CP?Sil 19 CB, HP-1701, Rtx-1701, SPB-1701, 007-1701, BP10, ZB-1701max. temperature for isothermal operation: 280°C, max. temperature for short isotherms in a temperature programme: 300°CCustom-made columns to your specifications on request.Each column is individually tested and supplied with test certificate and test chromatogram, but without fittings or ferrules.Column ends are melted or closed with septa, and thus protected from Additionally, we supply the corresponding test mixture with each column.
                                
                            
                                
    
                                                                    
                            
            
                                                                
                                                                                        
                                                                                            
                                    OPTIMA® 225 capillary columns for GC
                                
                            
                                                            
                                    
                                                                            
                                
                            
                                                            
                                    
                                    50% cyanopropylmethyl - 50% phenylmethylpolysiloxaneUSP G7 / G19middle polar phaserecommended for fatty acid analysessimilar phases: DB-225, HP-225, OV-225, Rtx-225, CP-Sil 43, 007-225, BP225max. temperature for isothermal operation: 260°C, max. temperature for short isotherms in a temperature programme: 280°CCustom-made columns to your specifications available on request.Each column is individually tested and supplied with test certificate and test chromatogram, but without fittings or ferrules.Column ends are melted or closed with septa.  Additionally, we supply the corresponding test mixture with each column.
                                
                            
                                
    
                                                                    
                            
            
                                                                
                                                                                        
                                                                                            
                                    Optima® FFAP capillary columns for GC
                                
                            
                                                            
                                    
                                                                            
                                
                            
                                                            
                                    
                                    polyethylene glycol 2-nitroterephthalateclose equivalent USP G25 / G35polar phaserecommended for FAME, free carboxylic acidssimilar phases: Permabond FFAP , DB-FFAP, HP-FFAP, CP-Sil 58 CB, 007-FFAP, CP-FFAP CB, Nukolfor columns with 0.10 to 0.32mm ID the max. temperature for isothermal operation is 250°C, the max. temperature for short isotherms in a temperature programme is 260°C for 0.53mm ID columns the max. temperatures are 220 and 240°C, resp.Custom-made columns to your specifications on request.Each column is individually tested and supplied with test certificate and test chromatogram, but without fittings or ferrules. Column ends are melted or closed with septa, and thus protected from atmospheric oxygen.Additionally, we supply the corresponding test mixture with each column.
                                
                            
                                
    
                                                                    
                            
            
                                                                
                                                                                        
                                                                                            
                                    OPTIMA® 5 MS capillary columns for GC
                                
                            
                                                            
                                    
                                                                            
                                
                            
                                                            
                                    
                                    5% diphenyl - 95% dimethylpolysiloxanenonpolar phase with low bleeding, deal for GC/MS and ECD applications and general analyses at trace level perfect inertness for basic compounds.Similar phases: DB-5 MS, HP-5 MS, Ultra-2, Equity-5, CP-Sil 8 CB low bleed/MS, Rtx-5SIL-MS, Rtx-5 MS, 007-5 MS, BPX5, MDN-5S, AT-5 MS, VF-5 MS.max. temperature for isothermal operation: 340°C, max. temperature for short isotherms in a temperature programme: 360 °CCustom-made columns to your specifications available on request.Each column is individually tested and supplied with test certificate and test chromatogram, but without fittings or ferrules. Column ends are melted or closed with septa, and thus protected from atmospheric oxygen.Additionally, we supply the corresponding test mixture with each column.
                                
                            
                                
    
                                                                    
                            
            
                                                                
                                                                                        
                                                                                            
                                    Optima® 5 Amine GC capillary columns for amine separation
                                
                            
                                                            
                                    
                                                                            
                                
                            
                                                            
                                    
                                    especially deactivated for the analysis of polyfunctional amines such as ethanolamines, amino-functionalised diols and similar compounds, which are important base materials in industrial chemistry, and shows strong tailing on standard-deactivated columns; similar phases: Rtx-5 Amine, PTA-5; USP G27 / G36; improved linearity for analyses of active components at trace levels: no amine absorptions even for aliphatic and aromatic amines at concentrations of 100 pg/peak; tested with the Optima® Amine test mixture, which among others also contains diethanolamine and propanol-pyridine (this test mixture is supplied with each column). Max. temperature for isothermal operation: 300°C, max. temperature for short isotherms in a temperature programme: 320°C.
                                
                            
                                
    
                                                                    
                            
            
                                                                
                                                                                        
                                                                                            
                                    OPTIMA® 1 high performance capillary columns for GC
                                
                            
                                                            
                                    
                                                                            
                                
                            
                                                            
                                    
                                    100% dimethylpolysiloxanenonpolar phase separation of components according to boiling points thick film columns ≥3µm film are especially recommended for solvent analysis.Similar phases: Permabond® SE-30, OV-1, DB-1, SE-30, HP-1, SPB-1, CP-Sil 5 CB, Rtx-1, 007-1, BP1, MDN-1, AT-1, ZB-1, OV-101.For columns with 0.25 to 0.32mm ID and films <3µm the max. temperature for isothermal operation is 340°C, the max. temperature for short isotherms in a temperature programme is 360°C.For 0.53mm ID columns with films <3µm the max. temperatures are 320 and 340°C, resp. for thick film columns with films ≥3µm the max. temperatures are 300 and 320 °C, resp.Custom-made columns to your specifications available on request.Each column is individually tested and supplied with test certificate and test chromatogram, but without fittings or ferrules.Column ends are melted or closed with septa, and thus protected from atmospheric oxygen. Additionally, we supply the corresponding test mixture with each column.
                                
                            
                                
    
                                                                    
                            
            
                                                                
                                                                                        
                                                                                            
                                    OPTIMA® 5 capillary columns for GC
                                
                            
                                                            
                                    
                                                                            
                                
                            
                                                            
                                    
                                    5% phenyl - 95% dimethylpolysiloxane USP G27, G36 nonpaolar standard phase with large range of application similar phases: Permabond® SE-52 , SE-54, SE-52, DB-5, HP-5, SPB-5, CP-Sil 8, Rtx-5, 007-5, BP5, MDN-5, AT-5, ZB-5 for columns with 0.1 to 0.32mm ID and films <3µm the max. temperature for isothermal operation is 340°C, the max. temperature for short isotherms in a temperature programme is 360°C for 0.53mm ID columns with films < 3µm the max. temperatures are 320 and 340°C, resp. for thick film columns with films ≥ 3µm the max. temperatures are 300 and 320°C, resp.Further lengths available on request.Custom-made columns to your specifications available on request.Each column is individually tested and supplied with test certificate and test chromatogram, but without fittings or ferrules. Column ends are melted or closed with septa, and thus protected from atmospheric oxygen.Additionally, we supply the corresponding test mixture with each column.
                                
                            
                                
    
                                                                    
                            
            
                                                                
                                                                                        
                                                                                            
                                    Optima® WAX capillary columns for GC
                                
                            
                                                            
                                    
                                                                            
                                
                            
                                                            
                                    
                                    polyethylene glycol 20000 daltonsUSP G16polar phaserecommended for solvent analysis and alcoholssuitable for aqueous solutionssimilar phases: Premabond® CW 20 M , DB-Wax, Supelcowax, HP-Wax, HP-INNOWAX, Rtx-Wax, CP-Wax 52 CB, Stabilwax, 007-CW, BP20, AT-Wax, ZB-WaxMax. temperature for isothermal operation 240°C, max. temperature for short isotherms in a temperature programme: 250°C,for 0.53 mm ID columns the max. temperatures are 220 and 240°C, resp.Custom-made columns to your specifications available on request.Each column is individually tested and supplied with test certificate and test chromatogram, but without fittings or ferrules.Column ends are melted or closed with septa.  Additionally, we supply the corresponding test mixture with each column.
                                
                            
                                
    
                                                                    
                            
            
                                                                
                                                                                        
                                                                                            
                                    Optima® 624 capillary columns for GC
                                
                            
                                                            
                                    
                                                                            
                                
                            
                                                            
                                    
                                    6% cyanopropyl-phenyl - 94% dimethylpolysiloxaneUSP G43medium polar phaserecommended for environmental analysessimilar phases: HP-624, HP-VOC, DB-624, DB-VRX, SPB-624, CP-624, Rtx-624, Rtx-Volatiles, 007-624, BP624, VOCOLmax. temperature for isothermal operation: 280°C, max. temperature for short isotherms in a temperature programme: 300°CCustom-made columns to your specifications avaialble on request.Each column is individually tested and supplied with test certificate and test chromatogram, but without fittings or ferrules.Column ends are melted or closed with septa. Additionally, we supply the corresponding test mixture with each column.
                                
                            
                                
    
                                                                    
                            
            
                                                                
                                                                                        
                                                                                            
                                    Optima® 624 LB capillary columns for GC
                                
                            
                                                            
                                    
                                                                            
                                
                            
                                                            
                                    
                                    6% cyanopropyl-phenyl - 94% dimethylpolysiloxaneUSP G 43medium polar phaselow bleed columns for halogenated hydrocarbons, volatiles, aromatic compounds, solvents etc.similar phases: HP-624, HP-VOC, DB-624, DB-VRX, SPB-624, CP-624, Rtx-624, Rtx-Volatiles, 007-624, BP624, VOCOLmax. temperature for isothermal operation: 280°C, max. temperature for short isotherms in a temperature programme: 300°CCustom-made columns to your specifications available  on request.Each column is individually tested and supplied with test certificate and test chromatogram, but without fittings or ferrules.Column ends are melted or closed with septa. Additionally, we supply the corresponding test mixture with each column.
                                
                            
                                
    
                                                                    
                            
            
                                                                
                                                                                        
                                                                                            
                                    Capillary columns HT5
                                
                            
                                                            
                                    
                                                                            
                                
                            
                                                            
                                    
                                    5% Phenyl Polycarborane siloxane. Ultra-high temperature columns for simulated distillation applications, general hydrocarbon profiles, pesticides, herbicides and for GCMS applications.
                                
                            
                                
    
                                                                    
                            
            
                                                                
                                                                                        
                                                                                            
                                    Capillary columns HT8 / Fast PCB
                                
                            
                                                            
                                    
                                                                            
                                
                            
                                                            
                                    
                                    8 % Phenyl Polycarborane-siloxane. Ultra high temperature columns for polychlorinated biphenyl compounds (PCB), nitro-substituted aromatics, polynuclear aromatic hydrocarbons, pesticides and herbicides.
                                
                            
                                
    
                                                                    
                            
            
                                                                
                                                                                        
                                                                                            
                                    Capillary columns GC BP5MS
                                
                            
                                                            
                                    
                                                                            
                                
                            
                                                            
                                    
                                    5% Phenyl Polysilphenylene-siloxane. For 5% GC-MS analysis and general purpose MS analysis. Suitable replacement for: DB-5ms, ZB-5ms, Rxi-5Sil MS, VF-5ms, CP-Sil 8 CB.
                                
                            
                                
    
                                                                    
                            
            
                                                                
                                                                                        
                                                                                            
                                    Capillary columns GC BP1
                                
                            
                                                            
                                    
                                                                            
                                
                            
                                                            
                                    
                                    100% Dimethyl Polysiloxane. General purpose GC column for all routine analyses such as hydrocarbons, aromatics, pesticides, phenol, herbicides and amines. Suitable replacement for: DB-1, DB-Petro, HP-1, HP-1MS, Rtx-1, Ultra-1, SPB-1, SPB-1 Sulfur, Petrocol DH, CP-Sil 5CB, VB-1, ZB-1, VF-1ms.Low bleedNon-polar
                                
                            
                                
    
                                                                    
                            
            
                                                                
                                                                                        
                                                                                            
                                    Capillary columns GC BP5
                                
                            
                                                            
                                    
                                                                            
                                
                            
                                                            
                                    
                                    5% Phenyl / 95% Dimethyl Polysiloxane. Low bleed. General purpose GC column for all routine analyses such as aromatics, pesticides, herbicides, hydrocarbons. Suitable replacement for: DB-5, Rtx-5, HP-5, Ultra-2, PTE-5, SPB-5, MDN-5, CP-Sil 8CB, VB-5, ZB-5, VF-5ms.
                                
                            
                                
    
                                                                    
                            
            
                                                                
                                                                                        
                                                                                            
                                    Capillary columns GC BPX5
                                
                            
                                                            
                                    
                                                                            
                                
                            
                                                            
                                    
                                    5% Phenyl Polysilphenylene-siloxane. General purpose GC column for routine gas chromatographic analysis. Suitable replacement for: DB-5, DB-5ms, DB-5.625, XTI-5, Rtx-5ms, Ultra-2, HP-5, HP-5MS, HP5-TA, SPB-5, MDN-5S, CP-Sil8CB, Rxt-Sil 5MS, AT-5ms, VB-5, ZB-5, VF-5ms.Very low bleedNon-polarExtremely inert
                                
                            
                                
    
                                                                    
                            
            
                                                                
                                                                                        
                                                                                            
                                    Capillary columns GC BPX-Dioxin
                                
                            
                                                            
                                    
                                                                            
                                
                            
                                                            
                                    
                                    For Dioxins and related compounds (POPs, PCBs, PCDFs, PCDDs).Very low bleedNon-polarExtremely inertIdeal for GC-MS
                                
                            
                                
    
                                                                    
                            
            
                                                                
                                                                                        
                                                                                            
                                    Capillary columns GC BP10
                                
                            
                                                            
                                    
                                                                            
                                
                            
                                                            
                                    
                                    14 % Cyanopropylphenyl Polysiloxane. For analysis of organochlorine pesticides. Suitable replacement for: DB-1701, Rtx-1701, SPB-7, HP-1701, CP-Sil 19CB, 007-1701, PE-1701, SP-1701.Low bleedHighly inertAble to be solvent rinsed
                                
                            
                                
    
                                                                    
                            
            
                                                                
                                                                                        
                                                                                            
                                    Capillary columns GC BP20
                                
                            
                                                            
                                    
                                                                            
                                
                            
                                                            
                                    
                                    Polyethylene Glycol phase. GC column for analyses such as alcohol, free acids, fatty acid methyl esters, aromatics, solvents and essential oils. Suitable replacement for: Carbowax 20M, CP-Wax 52 CB, DB-WAX, Elite-WAX, HP-20M, HP-INNOWax RH-WAX, Rtx-Wax, Stabilwax, SUPELCOWAX 10, TG-WaxMS, VF-WAXms, ZB-WAX.Industry standard wax columnPolar phase
                                
                            
                                
    
                                                                    
                            
            
                                                                
                                                                                        
                                                                                            
                                    Capillary columns GC BP21
                                
                            
                                                            
                                    
                                                                            
                                
                            
                                                            
                                    
                                    Nitroterephtalic acid modified PEG. For low molecular weight acids, alcohols, aldehydes, acrylates and ketones. Suitable replacement for: DB-FFAP, HP-FFAP, Stabilwax-DA, CPWax-58CB.Polar phaseAble to be solvent rinsed (water or methanol are not recommended for rinsing)
                                
                            
                                
    
                                                                    
                            
            
                                                                
                                                                                        
                                                                                            
                                    Capillary columns GC BPX90
                                
                            
                                                            
                                    
                                                                            
                                
                            
                                                            
                                    
                                    90% Cyanopropyl Polysilphenylene-siloxane. For the fast separation of fragrances, aromatics, pesticides, PCB, isomers of fatty acid methyl esters.Bonded phaseHighly polarThermally stableAble to be solvent rinsed
                                
                            
                                
    
                                                                    
                            
            
                                                                
                                                                                        
                                                                                            
                                    Capillary columns GC BPX70
                                
                            
                                                            
                                    
                                                                            
                                
                            
                                                            
                                    
                                    70% Cyanopropyl Polysilphenylene-siloxane. Able to be solvent rinsed. Industry standard column for fatty acid methyl esters, carbonhydrates, pharmaceuticals, GC/MS applications. Suitable alternative to: DB-23, Rtx-2330, SP-2330, CP-Sil 88, SP2380, HP-23.
                                
                            
                                
    
                                                                    
                            
            
                                                                
                                                                                        
                                                                                            
                                    Capillary columns GC BPX35
                                
                            
                                                            
                                    
                                                                            
                                
                            
                                                            
                                    
                                    35 % Phenyl Polysilphenylene-siloxane. Suitable Replacement for: DB-35, DB-35ms, Rtx-35, HP-35, HP-35MS, SPB-35, MDN-35.Very low bleedInertMid polarity columnEquivalent to USP phase G42High temperatureAble to be solvent rinsed
                                
                            
                                
    
                                                                    
                            
            
                                                                
                                                                                        
                                                                                            
                                    Capillary columns SolGel-Wax
                                
                            
                                                            
                                    
                                                                            
                                
                            
                                                            
                                    
                                    Polyethylene Glycol (PEG) in a SolGel matrix. Suitable replacement for: DB-Wax, Rtx- Wax, Stabilwax, HP20M, HP-Wax, HP-INNOWax, Supelcowax-10, AT-Wax, Nukol, CP, Wax 52CB, VB-WAX, ZB-WAX.Robust high-temperature column.Polar phaseLow bleed and inert
                                
                            
                                
    
                                                                    
                            
            
                                                                
                                                                                        
                                                                                            
                                    Capillary columns BPX50
                                
                            
                                                            
                                    
                                                                            
                                
                            
                                                            
                                    
                                    50% Phenyl Polysilphenylene-siloxane. For a range of EPA methods (604, 608, 8060, 8081), pharmaceutical applications, triazines, herbicides and steroids. Suitable replacement for: OV-17, SP-2250, DB-17, DB-17ms, DB-17ht, Rtx-50, SPB-50, HP-50+, HP-17.
                                
                            
                                
    
                                                                    
                            
            
                                                                
                                                                                        
                                                                                            
                                    Capillary columns BPX1-SIMD
                                
                            
                                                            
                                    
                                                                            
                                
                            
                                                            
                                    
                                    100% Dimethyl Polysiloxane. For high temperature hydrocarbon analysis and ASTM methods D2887 and D6532. Suitable replacement for: DB-2887, DB-HT Sim Dis, HP-1, Petrocol 2887, Petrocol EX2887, Rtx-2887.Non-polarLow bleed
                                
                            
                                
    
                                                                    
                            
            
                                                                
                                                                                        
                                                                                            
                                    Capillary columns GC SolGel-1ms™
                                
                            
                                                            
                                    
                                                                            
                                
                            
                                                            
                                    
                                    100% Dimethyl Polysiloxane in a SolGel matrix. Suitable Replacement for: DB-1, DB-Petro, HP-1, HP-1MS, Rtx-1, Ultra-1, SPB-1, SPB-1 Sulfur, Petrocol DH, CP-Sil 5CB, VB-1, ZB-1, VF-1ms.Less bleedNon-polarHighly inertSame selectivity as BP1
                                
                            
                                
    
                                                                    
                            
            
                                                                
                                                                                        
                                                                                            
                                    Capillary columns GC BP1 PONA
                                
                            
                                                            
                                    
                                                                            
                                
                            
                                                            
                                    
                                    100% Dimethyl Polysiloxane. For the analysis of petroleum products. Suitable Replacement for: Petrocol DH, DB-Petro, HP-PONA, AT-Petro, Elite-PONA, ZB-1, 007-1-100-0.5F, Rtx-1PONA, CP Sil PONA.Non-polar phase for PONA analysisDetailed hydrocarbon analysis according to ASTMCrosslinked and washableVery high resolving power columns for complex samples
                                
                            
                                
    
                                                                    
                            
            
                                                                
                                                                                        
                                                                                            
                                    Capillary columns GC BPX608
                                
                            
                                                            
                                    
                                                                            
                                
                            
                                                            
                                    
                                    35% Phenyl Polysilphenylene-siloxane. For environmental analyses, EPA 608, pesticides and herbicides. Suitable replacement for: DB-608, Rtx-35, SPB-608, HP-35, ZB-35.
                                
                            
                                
    
                                                                    
                            
            
                                                                 
                                                                                                                                                                                                                                                                                 
                                                                                                                                                                                                                                                                                 
                                                                                                                                                                                                                                                                                 
                                                                                                                                                                                                                                                                                 
                                                                                                                                                                                                                                                                                 
                                                                                                                                                                                                                                                                                 
                                                                                                                                                                                                                                                                                 
                                                                                                                                                                                                                                                                                 
                                                                                                                                                                                                                                                                                 
                                                                                                                                                                                                                                                                                 
                                                                                                                                                                                                                                                                                 
                                                                                                                                                                                                                                                                                 
                                                                                                                                                                                                                                                                                