Produkte filtern
–
- Allgemeiner Laborbedarf
- Arbeitsschutz, Sicherheitstechnik
- Analytisches Messen und Testen
- Rühren, Schütteln, Mischen
- Probenvorbereitung
- Destillieren, Trennen, Filtrieren
- Kälte- und Wärmetechnik
- Liquid Handling
- Vakuumtechnik, Trocknung, Trockenlagerung
- Optische Instrumente und Mikroskope
- Reinigung und Sterilisation
- Umwelt-, Boden-, Wasser-, Lebensmittelanalytik
- Life Science
- Chromatographie
- Reinraum
- About Us
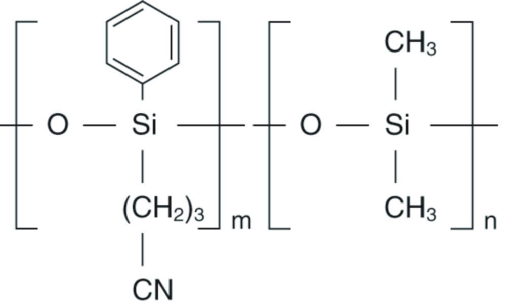
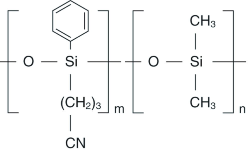
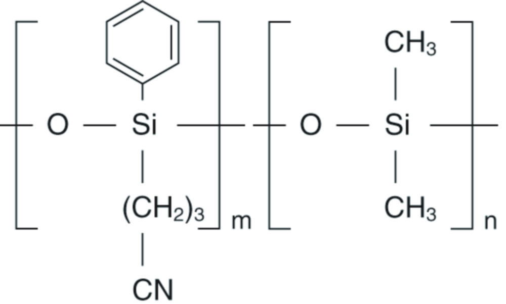
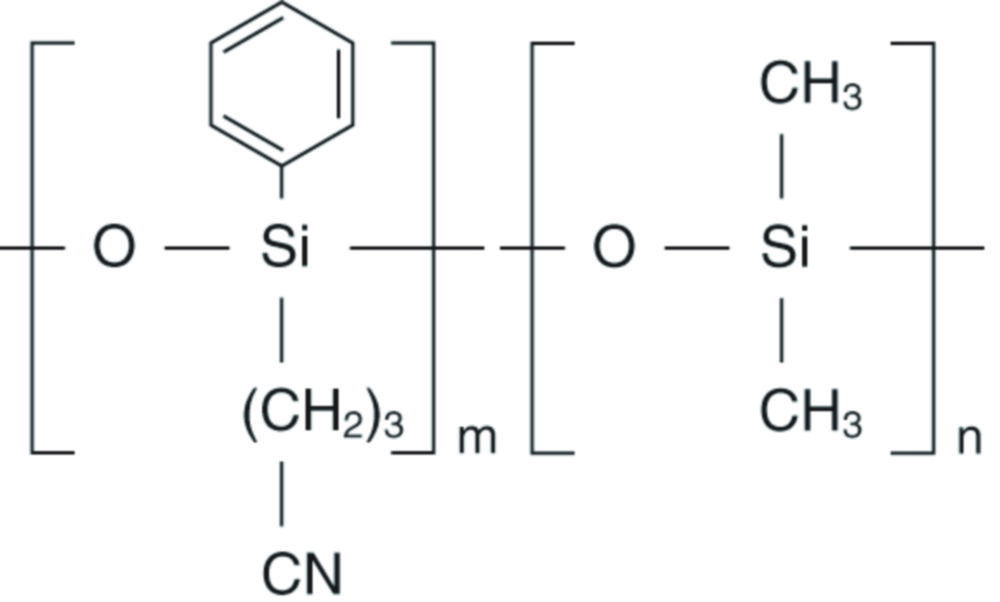
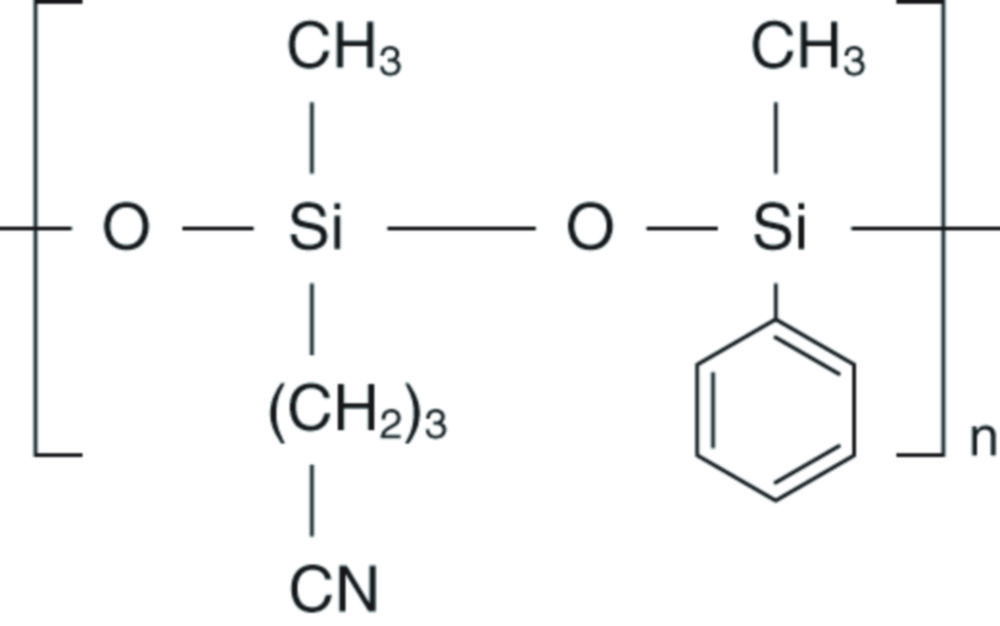
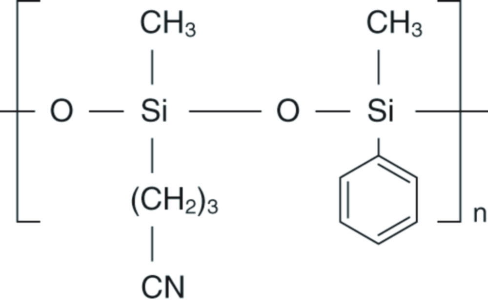
GC Kapillarsäulen LIPODEX® E
LIPODEX® Cyclodextrinphasen zur EnantiomerentrennungBasismaterial: cyclisches Oligosaccharid aus acht α-1,4-verknüpften Glucoseeinheiten (y-Cyclodextrin) regioselektive Alkylierung und/oder Acylierung der Hydroxylgruppen ergibt lipophile Phasen unterschiedlicher Enantioselektivität, die sich gut zur GC-Enantiomeranalytik eignen; wichtiger Vorteil: viele Verbindungen können ohne Derivatisierung analysiert werden (allerdings kann die Enantioselektivität für bestimmte Substanzen durch Bildung verschiedener Derivate positiv beeinflusst werden)Octakis-(2,6-di-O-pentyl-3-O-butyryl)-γ-cyclodextrin. Empfohlen für α-Aminosäuren, α- und β-Hydroxycarbonsäureester, Alkohole (TFA), Diole (TFA), Ketone, Pheromone (cyclische Acetale), Amine, Alkylhalogenide, Lactone.Max. Temperatur für isotherme Arbeitsweise 200 °CMax. Temperatur für kurze Isothermen in einem Temperaturprogramm 220 °C
GC-Kapillarsäulen HYDRODEX β-6TBDM
HYDRODEX Cyclodextrinphasen zur EnantiomerentrennungHeptakis-(2,3-di-O-methyl-6-O-t-butyldimethyl-silyl)-β-cyclodextrin. Phase verdünnt mit einem optimierten Polysiloxan empfohlen für γ-Lactone, Cyclopentanone, Terpene, Ester, Tartrate.Max. Temperatur für isotherme Arbeitsweise 230 °CMax. Temperatur für kurze Isothermen in einem Temperaturprogramm 250 °C
GC-Kapillarsäulen HYDRODEX β-TBDAC
HYDRODEX Cyclodextrinphasen zur EnantiomerentrennungHeptakis-(2,3-di-O-acetyl-6-O-t-butyldimethyl-silyl)-β-cyclodextrin. Phase verdünnt mit einem optimierten Polysiloxan empfohlen für Alkohole, Ester, Ketone, Aldehyde, δ-Lactone.Max. Temperatur für isotherme Arbeitsweise 220 °CMax. Temperatur für kurze Isothermen in einem Temperaturprogramm 240 °C
OPTIMA® 1 MS Accent Kapillarsäulen für die GC
100 % Dimethylpolysiloxanunpolare Phase mit extrem geringem Bluten, ideal für Ion-Trap- und Quadrupol-MS-Detektorenerhöhte Empfindlichkeit durch excellentes Signal-Rauschverhältnisgute Desaktivierung für basische Verbindungenzur Entfernung von Verunreinigungen mit Lösemittel spülbarAnwendungsgebiete: Allround-Phase für die Umweltanalytik, Spurenanalytik, EPA-Methoden, Pestizide, PCB, Lebensmittel- und DrogenanalytikUSP G1 / G2 / G38ähnliche Phasen: Ultra-1, DB-1 MS, HP-1 MS, Rtx-1 MS, Equity™1, AT-1 MS, VF-1 MS, CP-Sil 5 CB MSmax. Temperatur für isotherme Arbeitsweise 340 °C, max. Temperatur für kurze Isothermen in einem Temperaturprogramm 360 °CJede Säule wird einzeln getestet und mit Prüfzertifikat und Testchromatogramm, aber ohne Anschlussfittings oder Ferrules ausgeliefert. Alle Säulen sind an den Enden zugeschmolzen oder mit Septa verschlossen und so gegen Eindringen von Sauerstoff geschützt.Zusätzlich liegt die jeweils verwendete Testmischung bei.
OPTIMA® 5 MS Accent Kapillarsäulen für die GC
Silarylenphase Mit Polarität ähnlich einer 5 % Diphenyl - 95 % Dimethylpolysiloxan-PhaseGeringstes Säulenbluten, unpolare Phase, ideal für Ion-Trap- und Quadrupol-MS-DetektorenZum Entfernen von Verunreinigungen mit Lösemittel spülbarAnwendungsgebiete: Allround-Phase für die Umweltanalytik, Spurenanalytik, EPA-Methoden, Pestizide, PCB, Lebensmittel- und DrogenanalytikUSP G27 /G36ähnliche Phasen: DB-5 MS, HP-5 MS, Ultra-2, Equity-5, CP-Sil 8 CB low bleed/MS, Rtx-5SIL-MS, Rtx-5 MS, 007-5 MS, BPX5, MDN-5S, AT-5 MS, VF-5 MSMax. Temperatur für isotherme Arbeitsweise 340 °C,Max. Temperatur für kurze Isothermen in einem Temperaturprogramm 360 °Cfür Säulen mit Filmdicken > 5,5 mm betragen die max. Temperaturen 320 bzw. 340 °CJede Säule wird einzeln getestet und mit Prüfzertifikat und Testchromatogramm, aber ohne Anschlussfittings oder Ferrules ausgeliefert. Alle Säulen sind an den Enden zugeschmolzen oder mit Septa verschlossen und so gegen Eindringen von Sauerstoff geschützt.Zusätzlich liegt die jeweils verwendete Testmischung bei.
OPTIMA® 17 Kapillarsäulen für die GC
Phenylmethylpolysiloxan (50 % Phenyl)mittelpolare Phasebevorzugte Anwendungsgebiete: Steroide, Pestizide, DrogenanalytikUSP G3ähnliche Phasen: OV-17, DB-17, HP-50+, HP-17, SPB-50, SP-2250, Rtx-50, CP-Sil 24 CB, 007-17, ZB-50max. Temperatur für isotherme Arbeitsweise 320 °C, max. Temperatur für kurze Isothermen in einem Temperaturprogramm 340 °Cfür Säulen mit 0,53 mm ID betragen die max. Temperaturen 300 bzw. 320 °CAußer dem hier aufgeführten Standardprogramm liefern wir gerne auch Säulen nach Kundenspezifikation.
OPTIMA® 1701 Kapillarsäulen für die GC
14 % Cyanopropyl-phenyl - 86 % Dimethylpolysiloxan mittelpolare Phasebesondere Selektivität durch hohen CyanopropylanteilReferenzsäule zur Strukturabklärung, z.B. in Kombination mit OPTIMA 5Filmdicken ≥ 1 µm für die LösemittelanalytikUSP G46ähnliche Phasen: OV-1701, DB-1701, CP™Sil 19 CB, HP-1701, Rtx-1701, SPB-1701, 007-1701, BP10, ZB-1701max. Temperatur für isotherme Arbeitsweise 280 °C, max. Temperatur für kurze Isothermen in einem Temperaturprogramm 300 °CSäulen nach Kundenspezifikation auf Anfrage erhältlich.Jede Säule wird einzeln getestet und mit Prüfzertifikat und Testchromatogramm, aber ohne Anschlussfittings oder Ferrules ausgeliefert. Alle Säulen sind an den Enden zugeschmolzen oder mit Septa verschlossen und so gegen Eindringen von Sauerstoff geschützt.Zusätzlich liegt die jeweils verwendete Testmischung bei.
OPTIMA® 225 Kapillarsäulen für die GC
50% Cyanopropylmethyl - 50% Phenylmethylpolysiloxanmittelpolare Phaseempfohlen für die FettsäureanalytikUSP G7 / G19ähnliche Phasen: DB-225, HP-225, OV-225, Rtx-225, CP-Sil 43, 007-225, BP225max. Temperatur für isotherme Arbeitsweise 260 °C, max. Temperatur für kurze Isothermen in einem Temperaturprogramm 280 °CSäulen nach Kundenspezifikation auf Anfrage erhältlich.Jede Säule wird einzeln getestet und mit Prüfzertifikat und Testchromatogramm, aber ohne Anschlussfittings oder Ferrules ausgeliefert. Alle Säulen sind an den Enden zugeschmolzen oder mit Septa verschlossen und so gegen Eindringen von Sauerstoff geschützt.Zusätzlich liegt die jeweils verwendete Testmischung bei.
OPTIMA® FFAP Kapillarsäulen für die GC
Polyethylenglykol-2-nitroterephthalsäureesterannähernd USP G25 / G35polare Phaseempfohlen für FAME, freie Carbonsäurenähnliche Phasen: PERMABOND FFAP , DB-FFAP, HP-FFAP, CP-Sil 58 CB, 007-FFAP, CP-FFAP CB, Nukolfür Säulen mit 0,10 - 0,32 mm ID ist die max. Temperatur für isotherme Arbeitsweise 250 °C, die max. Temperatur für kurze Isothermen in einem Temperaturprogramm ist 260 °Cfür Säulen mit 0,53 mm ID betragen die max. Temperaturen 220 bzw. 240 °CSäulen nach Kundenspezifikation auf Anfrage.Jede Säule wird einzeln getestet und mit Prüfzertifikat und Testchromatogramm, aber ohne Anschlussfittings oder Ferrules ausgeliefert. Alle Säulen sind an den Enden zugeschmolzen oder mit Septa verschlossen und so gegen Eindringen von Sauerstoff geschützt.Zusätzlich liegt die jeweils verwendete Testmischung bei.
OPTIMA® 5 MS Kapillarsäulen für die GC
5 % Diphenyl - 95 % DimethylpolysiloxanUnpolare Phase mit geringem Bluten, ideal für GC/MS- und ECD-Anwendungen und allgemeine Analytik im Spurenbereich, gute Desaktivierung für basische Verbindungen.Ähnliche Phasen: DB-5, HP-5 MS, Ultra-2, Equity-5, CP-Sil 8 CB low bleed/MS, Rtx-5SIL-MS, Rtx-5 MS, Rxi-5 MS, 007-5 MS, BPX5, MDN-5S, AT-5 MS, VF-5 MS. Max.Temperatur für isotherme Arbeitweise 340 °C, max. Temperatur für kurze Isothermen in einem Temperaturprogramm 360 °CSäulen nach Kundenspezifikation auf Anfrage erhältlich.Jede Säule wird einzeln getestet und mit Prüfzertifikat und Testchromatogramm, aber ohne Anschlussfittings oder Ferrules ausgeliefert. Alle Säulen sind an den Enden zugeschmolzen oder mit Septa verschlossen und so gegen Eindringen von Sauerstoff geschützt.Zusätzlich liegt die jeweils verwendete Testmischung bei.
OPTIMA® 5 Amin GC-Kapillarsäulen zur Amintrennung
speziell desaktiviert für die Analytik polyfunktioneller Amine, wie z.B. Ethanolamine, amino-funktionalisierte Diole und ähnliche, in der chemischen Grundstoffindustrie verwendete Substanzgruppen, die auf standard-desaktivierten Säulen starkes Tailing zeigen; ähnliche Phasen: Rtx-5 Amine, PTA-5; USP G27 / G36; verbesserte Linearität bei Bestimmungen aktiver Komponenten im Spurenbereich: keine Aminabsorption bei aliphatischen und aromatischen Aminen selbst bei Konzentrationen von 100 pg/Peak; getestet mit der OPTIMA® Amin Testmischung, die unter anderem Diethanolamin und Propanol-pyridine enthält (diese Testmischung liegt jeder Säule bei)max. Temperatur für isotherme Arbeitsweise 300 °C, max. Temperatur für kurze Isothermen in einem Temperaturprogramm 320 °C.
OPTIMA® 1 Kapillarsäulen für die GC
100 % Dimethylpolysiloxanunpolare Phase Trennung von Komponenten nach dem Siedepunkt ≥3 µm Filmdicke besonders für die Lösemittelanalytik.USP G1/G2/G38.Ähnliche Phasen: PERMABOND® SE30, OV-1, DB-1, SE-30, HP™1, SPB™1, CP-Sil 5 CB, Rtx-1, 007™1, BP1, MDN™1, AT-1, ZB-1, OV-101.Für Säulen mit 0,25 - 0,32 mm ID und Filmdicken <3 µm beträgt die max. Temperatur für isotherme Arbeitsweise 340 °C, die max. Temperatur für kurze Isothermen in einem Temperaturprogramm ist 360 °C.Für Säulen mit 0,53 mm ID und Filmdicken <3 µm betragen die max. Temperaturen 320 bzw. 340 °C für Dickfilmsäulen mit Filmdicken ≥3 µm liegen die max. Temperaturen bei 300 bzw. 320 °C.Säulen nach Kundenspezifikation auf Anfrage erhältlich.Jede Säule wird einzeln getestet und mit Prüfzertifikat und Testchromatogramm, aber ohne Anschlussfittings oder Ferrules ausgeliefert. Alle Säulen sind an den Enden zugeschmolzen oder mit Septa verschlossen und so gegen Eindringen von Sauerstoff geschützt.Zusätzlich liegt die jeweils verwendete Testmischung bei.
OPTIMA® 5 Kapillarsäulen für die GC
5 % Phenyl - 95 % MethylpolysiloxanUSP G27, G36 unpolare Standardphase mit großem Anwendungsbereich ähnliche Phasen: PERMABOND® SE-52, SE-54, SE-52, DB-5, HP-5, SPB-5, CP-Sil 8, Rtx-5, 007-5, BP5, MDN-5, AT-5, ZB-5 für Säulen mit 0,1 - 0,32 mm ID und Filmdicken <3 µm beträgt die max. Temperatur für isotherme Arbeitsweise 340 °C, die max. Temperatur für kurze Isothermen in einem Temperaturprogramm ist 360 °C für Säulen mit 0,53 mm ID und Filmdicken < 3 µm betragen die max. Temperaturen 320 bzw. 340 °C, für Dickfilmsäulen mit Filmdicken ≥ 3 µm liegen die max. Temperaturen bei 300 bzw. 320 °C.Weitere Längen auf Anfrage erhältlich.Säulen nach Kundenspezifikation auf Anfrage erhältlich.Jede Säule wird einzeln getestet und mit Prüfzertifikat und Testchromatogramm, aber ohne Anschlussfittings oder Ferrules ausgeliefert. Alle Säulen sind an den Enden zugeschmolzen oder mit Septa verschlossen und so gegen Eindringen von Sauerstoff geschützt.Zusätzlich liegt die jeweils verwendete Testmischung bei.
OPTIMA® WAX Kapillarsäulen für die GC
Polyethylenglycol 20 000 DaltonUSP G16polare Phaseempfohlen für die Lösemittelanalytik und Alkoholefür wässrige Lösungen geeignetähnliche Phasen: PERMABOND® CW 20 M, DB-Wax, Supelcowax, HP-Wax, HP-INNOWAX, Rtx-Wax, CP-Wax 52 CB, Stabilwax, 007-CW, BP20, AT-Wax, ZB-WaxFür Säulen mit 0,25 - 0,32 mm ID beträgt die max. Temperatur für isotherme Arbeitsweise 240 °C, max. Temperatur für kurze Isothermen in einem Temperaturprogramm 250 °C.Für Säulen mit 0,53 mm ID betragen die max. Temperatur 220 bzw. 240 °C.Säulen nach Kundenspezifikation auf Anfrage erhältlich.Jede Säule wird einzeln getestet und mit Prüfzertifikat und Testchromatogramm, aber ohne Anschlussfittings oder Ferrules ausgeliefert. Alle Säulen sind an den Enden zugeschmolzen oder mit Septa verschlossen und so gegen Eindringen von Sauerstoff geschützt.Zusätzlich liegt die jeweils verwendete Testmischung bei.
OPTIMA® 624 Kapillarsäulen für die GC
6 % Cyanopropyl-phenyl - 94 % Dimethylpolysiloxanmittelpolare Phaseempfohlen für die UmweltanalytikUSP G43ähnliche Phasen: HP-624, HP-VOC, DB-624, DB-VRX, SPB-624, CP-624, Rtx-624, Rtx-Volatiles, 007-624, BP624, VOCOLmax. Temperatur für isotherme Arbeitsweise 280 °C, max. Temperatur für kurze Isothermen in einem Temperaturprogramm 300 °CSäulen nach Kundenspezifikation auf Anfrage erhältlich.Jede Säule wird einzeln getestet und mit Prüfzertifikat und Testchromatogramm, aber ohne Anschlussfittings oder Ferrules ausgeliefert. Alle Säulen sind an den Enden zugeschmolzen oder mit Septa verschlossen und so gegen Eindringen von Sauerstoff geschützt.Zusätzlich liegt die jeweils verwendete Testmischung bei.
OPTIMA® 624 LB Kapillarsäulen für die GC
6 % Cyanopropyl-phenyl - 94 % Dimethylpolysiloxanmittelpolare PhaseUSP G43Säule mit geringem Bluten für halogenierte Kohlenwasserstoffe (LHKW), leichtsiedende Substanzen, aromatische Verbindungen, Lösemittel etc.ähnliche Phasen: HP-624, HP-VOC, DB-624, DB-VRX, SPB-624, CP-624, Rtx-624, Rtx-Volatiles, 007-624, BP624, VOCOLmax. Temperatur für isotherme Arbeitsweise 280 °C, max. Temperatur für kurze Isothermen in einem Temperaturprogramm 300 °CSäulen nach Kundenspezifikation auf Anfrage erhältlich.Jede Säule wird einzeln getestet und mit Prüfzertifikat und Testchromatogramm, aber ohne Anschlussfittings oder Ferrules ausgeliefert. Alle Säulen sind an den Enden zugeschmolzen oder mit Septa verschlossen und so gegen Eindringen von Sauerstoff geschützt.Zusätzlich liegt die jeweils verwendete Testmischung bei.
Kapillarsäulen HT5
5% Phenyl-Polycarboran-Siloxan. Ultrahochtemperatur-Säulen für simulierte Destillationsanwendungen, allgemeine Kohlenwasserstoffprofile, Pestizide, Herbizide und für GCMS-Anwendungen.
Kapillarsäulen HT8 / Fast PCB
8 % Phenyl-Polycarboran-Siloxan. Ultrahochtemperatur-Säulen für polychlorierte Biphenyl-Verbindungen (PCB), Nitro-substituierte Aromaten, Polynukleare aromatische Kohlenwasserstoffe, Pestizide und Herbizide.
Kapillarsäule GC BP5MS
5 % Phenyl-Polysilphenylen-Siloxan. Für 5% GC-MS-Analyse und allgemeine MS-Analysen. Geeigneter Ersatz für: DB-5ms, ZB-5ms, Rxi-5Sil MS, VF-5ms, CP-Sil 8 CB.
Kapillarsäulen GC BP1
100% Dimethyl-Polysiloxan. Universal-GC-Säule für alle Routineanalysen wie Kohlenwasserstoffe, Aromaten, Pestizide, Phenol, Herbizide und Amine. Geeigneter Ersatz für: DB-1, DB-Petro, HP-1, HP-1MS, Rtx-1, Ultra-1, SPB-1, SPB-1 Schwefel, Petrocol DH, CP-Sil 5CB, VB-1, ZB-1, VF-1ms.Niedrige BlutungUnpolar
Kapillarsäule GC BP5
5% Phenyl / 95% Dimethyl Polysiloxane. Geringe Blutung. Universal-GC-Säule für alle Routineanalysen wie Aromaten, Pestizide, Herbizide, Kohlenwasserstoffe. Geeigneter Ersatz für: DB-5, Rtx-5, HP-5, Ultra-2, PTE-5, SPB-5, MDN-5, CP-Sil 8CB, VB-5, ZB-5, VF-5ms.
Kapillarsäulen GC BPX5
5% Phenyl-Polysilphenylen-Siloxan. Universal-GC-Säule für gaschromatographische Routineanalysen. Geeigneter Ersatz für: DB-5, DB-5ms, DB-5.625, XTI-5, Rtx-5ms, Ultra-2, HP-5, HP-5MS, HP5-TA, SPB-5, MDN-5S, CP-Sil8CB, Rxt-Sil 5MS, AT-5ms, VB-5, ZB-5, VF-5ms.Sehr geringe BlutungUnpolarExtrem inert
Kapillarsäulen GC BPX-Dioxin
Für Dioxine und verwandte Verbindungen (POPs, PCBs, PCDFs, PCDDs).Sehr geringe BlutungUnpolarExtrem inertIdeal für GC-MS
Kapillarsäulen GC BP10
14 % Cyanopropylphenyl Polysiloxan. Für die Analyse von Organochlor-Pestiziden. Geeigneter Ersatz für: DB-1701, Rtx-1701, SPB-7, HP-1701, CP-Sil 19CB, 007-1701, PE-1701, SP-1701.Niedrige BlutungExtrem inertGeeignet für die Spülung mit Lösungsmitteln
Kapillarsäulen GC BP20
Polyethylen-Glykol-Phase. GC-Säule für Analysen wie Alkohol, freie Säuren, Fettsäuremethylester, Aromaten, Lösungsmittel und ätherische Öle. Geeigneter Ersatz für: Carbowax 20M, CP-Wax 52 CB, DB-WAX, Elite-WAX, HP-20M, HP-INNOWax RH-WAX, Rtx-Wax, Stabilwax, SUPELCOWAX 10, TG-WaxMS, VF-WAXms, ZB-WAX.Wachssäule nach IndustriestandardPolare Phase
Kapillarsäulen GC BP21
Nitroterephthalsäure-modifizierte PEG. Für niedermolekulare Säuren, Alkohole, Aldehyde, Acrylate und Ketone. Geeigneter Ersatz für: DB-FFAP, HP-FFAP, Stabilwax-DA, CPWax-58CB.Polare PhaseGeeignet für die Spülung mit Lösungsmitteln (Wasser oder Methanol sind nicht zum Spülen empfohlen)
Kapillaräulen GC BPX90
90% Cyanopropyl-Polysilphenylen-Siloxan. Für die schnelle Trennung von Duftstoffen, Aromaten, Pestiziden, PCB, Isomere von Fettsäuremethylestern.Gebundene PhaseHochpolarThermisch stabilGeeignet für die Spülung mit Lösungsmitteln
Kapillarsäulen GC BPX70
70% Cyanopropyl-Polysilphenylen-Siloxan. Geeignet für die Spülung mit Lösungsmitteln. Säule nach Industriestandard für Fettsäuremethylester, Kohlenhydrate, Pharmazeutika und GC/MS-Anwendungen. Geeigneter Ersatz für: DB-23, Rtx-2330, SP-2330, CP-Sil 88, SP2380, HP-23.
Kapillarsäulen GC BPX35
35 % Phenyl Polysilphenylen-Siloxan. Geeigneter Ersatz für: DB-35, DB-35ms, Rtx-35, HP-35, HP-35MS, SPB-35, MDN-35.Sehr niedrige BlutungInertMittlere PolaritätÄquivalent zur USP-Phase G42Hohe TemperaturGeeignet für die Spülung mit Lösungsmitteln
Kapillarsäulen SolGel-Wax
Polyethylenglykol (PEG) in einer SolGel-Matrix. Geeigneter Ersatz für: DB-Wachs, Rtx-Wachs, Stabilwachs, HP20M, HP-Wachs, HP-INNOWax, Supelcowax-10, AT-Wachs, Nukol, CP, Wachs 52CB, VB-Wachs, ZB-Wachs.Robuste HochtemperatursäulePolare PhaseGeringe Blutung und Inertisierung
Kapillarsäulen BPX50
50% Phenyl-Polysilphenylen-Siloxan. Für eine Reihe von EPA-Methoden (604, 608, 8060, 8081), pharmazeutischen Anwendungen, Triazine, Herbizide und Steroide. Geeigneter Ersatz für: OV-17, SP-2250, DB-17, DB-17ms, DB-17ht, Rtx-50, SPB-50, HP-50+, HP-17.
Kapillarsäulen BPX1
100% Dimethyl-Polysiloxan. Für die Analyse von Hochtemperatur-Kohlenwasserstoffen und ASTM-Methoden D2887 und D6532. Geeigneter Ersatz für: DB-2887, DB-HT Sim Dis, HP-1, Petrocol 2887, Petrocol EX2887, Rtx-2887.UnpolarNiedrige Blutung
Kapillarsäulen GC SolGel-1ms™
100 % Dimethyl-Polysiloxan in einer SolGel-Matrix. Geeigneter Ersatz für: DB-1, DB-Petro, HP-1, HP-1MS, Rtx-1, Ultra-1, SPB-1, SPB-1 Sulfur, Petrocol DH, CP-Sil 5CB, VB-1, ZB-1, VF-1ms.Geringere BlutungUnpolarExtrem inertGleiche Selektivität wie BP1
Kapillarsäulen GC BP1 PONA
100 % Dimethyl-Polysiloxan. Für die Analyse von Erdölprodukten. Geeigneter Ersatz für: Petrocol DH, DB-Petro, HP-PONA, AT-Petro, Elite-PONA, ZB-1, 007-1-100-0.5F, Rtx-1PONA, CP Sil PONA.Unpolare Phase für die PONA-AnalyseDetaillierte Kohlenwasserstoff-Analyse nach ASTMVernetzt und auswaschbarSehr hohes Auflösungsvermögen der Säulen für komplexe Proben
Kapillarsäulen GC BPX608
35% Phenyl Polysilphenylen-Siloxan. Für Umweltanalysen, EPA608, Pestizide und Herbizide. Geeigneter Ersatz für: DB-608, Rtx-35, SPB-608, HP-35, ZB-35.